Randsteine und Veloverkehr
(Beispiele aus der Stadt Bern)
Das Dokument wurde im Jahr 2004 erstellt.
Die Folgerungen aus diesen Fakten sind teilweise veraltet, da die Idealmasse
für Velofahrende leider aufgrund der Anliegen der Behinderten nicht
mehr aufrechterhalten werden können.
In neueren Normen versucht man mit
Kompromissen beiden Seiten gerecht zu werden.
->
Randsteinpraxis Bern: Bilder
Frage: Wie sieht eine
veloverträgliche Anrampung aus?
jedenfalls so
nicht!
so auch nicht!
Genau dies forderten bis ca. 2012 die Behindertenverbände:
3cm senkrecht oder 4cm mit schräggestelltem Stein:
|
=
velofeindlich |
Die Schläge, welche ein Velo beim
Befahren solcher Übergänge erleidet, sind nicht tolerierbar,
sie können gefährlich sein.
Für Absätze, die von Velos überfahren
werden müssen, sind deshalb andere Lösungen anzustreben.
Solche möglichen Lösungen wurden
Das beste für Velo ist eine Absenkung auf 0,0cm. Dabei genügt
eine Einsattelung auch von geringer Breite von 50cm. Heute sagt
man dem "Zahnlücke"
Dies kanalisiert den Veloverkehr garantiert
auf diese Zone:
Handgelenk- und Felgenbrecher
Nur flache Rampen mit kleiner Steigung
sind veloverträglich. Steile Rampen oder gar rechtwinkliche Absätze
erzeugen zum Teil massive Schläge auf die (meist immer noch
ungefederten) Velos mit gesundheitsschädlichen Auswirkungen
auf Handgelenke und den Beckenbereich der Lenkenden und auf mitfahrende
Kinder.
Das ist etwa so, wie wenn man ein Auto
mit gleichem Tempo über 15cm hohe Trottoirkanten "jagen" würde.
Die unsensible Ausführung von Randsteinen,
Tempo-30-Zonen-Toren, Aufschiftungen usw. führte zum Teil dazu, dass
ein Auto auch in einer Temp0-30-Zone ohne Probleme mit 40km/h über
solche Schwelllen fahren kann, während ein Velo auf Schritttempo abbremsen
muss, damit Kinder nicht aus dem Sitz oder Einkäufe nicht aus dem
Körbchen fliegen.
|
Zusammenfassung:

-
Für Tempo-30-Tore sollten nur Steigungen
bis
maximal 15% akzeptiert werden.
-
Für Versätze auf gerade befahrenen
Stellen (z.B. Aufschiftungen auf Kreuzungen) sind 8-10% anzustreben.
-
Es muss extrem auf die Ausführungsdetails
geachtet werden: Der angrenzende Belag muss flach und sauber anschliessen;
ein Belagswulst von 1 oder 1,5cm oder ein versenktes Wassersteinplättli
verschlimmern die Situation wieder drastisch.
|
Was gibt es für einen
Schlag beim Befahren eines Randsteins mit einem Velo?
Solche Randsteinanschläge oder Vertikalversätze
sind für Velos immer als Schlag wahrnehmbar.
Ein Schlag kann physikalisch als Beschleunigung
ausgedrückt werden.
Je grösser die Beschleunigung, desto
grösser die schädigenden Kräfte auf Mensch und Maschine.
Es handelt sich keineswegs nur um ein
Komfort-, sondern eben auch um ein Gesundheits- und Sicherheitsproblem.
Bei vertikalen Versätzen besteht immer auch die Gefahr des seitlichen
Wegrutschens, wenn man sie in spitzem Winkel anfahren muss, zum Beispiel
beim Abbiegen.
Modell:
Man könnte die Schläge messen,
oder ein Modell entwickeln, um sie annähernd zu berechnen:
Ein Rad fährt horizontal auf eine
Rampe bzw. einen Vertikalversatz zu und überfährt ihn.
Dabei wird das Rad innerhalb einer gewissen
Zeit auf das neue Horizontalniveau angehoben.
Dazu muss es eine vertikale Beschleunigung
und Wiederverzögerung erfahren.
Die Achse beschreibt bei einem langsamen,
ideal harten Rad den gezeichneten Weg von Punkt D über Phase E zu
Punkt F. Bei schnellerem und nicht hartem Rad beschreibt die Achse eher
ein Doppel-S mit mind. 2 Wendepunkten. Der Weg der Achse zwischen dem Punkt
D und dem Punkt F spielt aber keine Rolle, wenn die mittlere, positive
Vertikalbeschleunigung während dieser Phase (D bis F) berechnet wird.
r = Radius des Rads inkl. Pneu (34cm bei
28-Zoll-Rad mit belastetem, nicht sehr dickem Pneu)
b = Höhe des Absatzes (z.B. 3cm)
a = Länge der Rampe (0 bei 90-Grad-Absatz
h = Länge des Wegs, auf welchem ein
langsames Rad eine Vertikalgeschwindigkeit aufweist.
alfa = arctan b/a
vh = Horizontalgeschwindigkeit
Ein horizontal rollendes Rad hat keine
Vertikalkomponente in der Geschwindigkeit.
Das Rad wird aber durch einen Vertikalversatz
kurzzeitig auf eine vertikale Aufwärtsgeschwindigkeit beschleunigt,
nach dem Vertikalversatz wird die Vertikalkomponente wieder null sein.
Der entsprechende vertikale Beschleunigung
ist zuerst positiv, bei Rückkehr zur Vertikalgeschwindigkeit null
natürlich negativ.
Für den Schlag auf das Velo ist der
positive Teil der Vertikalbeschleunigung entscheidend. Es ist realistisch
anzunehmen, dass die vertikale Beschleunigung bei Punkt F abgeschlossen
ist, und sie setzt sicher auch nicht später als bei Punkt D ein. Der
so berechnete mittlere Beschleunigungswert ist also eher zu klein als zu
gross. Zudem wäre der Spitzenwert der Beschleunigung massgebend, und
dieser liegt sicher noch einmal viel höher als die mittlere Beschleunigung.
Man macht also u.a. folgende Vereinfachungen
und Vernachlässigungen:
-
Die Horizonalgeschwindigkeit bleibt konstant
-
Die Bremsbeschleunigung (sowie der Rückprall
nach unten) wird nicht erfasst.
-
Die positive Beschleunigung sei gleichmässig
über die ganze Phase von D bis F verteilt, in welcher die Radgeschwindigkeit
eine positive Vertikalgeschwindigkeit aufweist. Sie wird also gemittelt
über die Zeitphase vom Punkt D über die Phase E zum Punkt F und
wird damit sicher zu "sanft" ausfallen.
-
Es wird nicht berücksichtigt, dass ev.
sogar die negative Beschleunigung (die Bremsung) bereits bei Punkt F wieder
beendet ist (z.B. bei tiefer Geschwindigkeit)
-
Bei höherer Geschwindigkeit und steilen
Winkeln kann der Pneu bis auf die Felge deformiert werden, dabei erhöht
sich insbesondere der Spitzenwert der Beschleunigung dramatisch (der Mittelwert
bleibt ungefähr gleich).
-
Die Pumphärte des Pneus hat natürlich
Einfluss auf den Maximalwert bzw. die "Verteilung" der Beschleunigung,
kaum aber auf die hier betrachtete mittlere Beschleunigung während
der Aufwärtsphase.
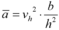
Ergebnis:
Die positive Vertikalbeschleunigung (a
Querstrich), gemittelt über den ganzen Abschnitt D bis F beträgt:
Interpretation:
-
Beschleunigung (Schlag) nimmt erwartungsgemäss
quadratisch mit der Horizontalgeschwindigkeit vh zu
-
Beschleunigung nimmt linear mit der Absatzhöhe
b zu
-
Beschleunigung nimmt quadratisch ab
mit der Vergrösserung des horizontalen Wegs h, während
dessen sich das Rad vertikal bewegt ("Länge" der Rampe)!
--> Jedes % weniger Neigung
macht enorm viel aus!
--> Eine doppelt
so lange Rampe (h) auf eine Höhe (b) von 3cm reduziert den Schlag
auf ein Velorad auf einen Viertel!
h ist abhängig vom Rad-Radius
r, der Absatzhöhe b und der Projektion der Rampenlänge
(a,
siehe Skizze oben):
Umgerechnet auf Absatzhöhe b
und Anstellwinkel Alfa:
Als Grafik in Abhängigkeit des Rampenwinkels
(Parameter sind b, r und v), Modell 1 entspricht obiger Formel.
Bei Modell 2 wurde ein weicher Pneu angenommen,
der bis auf die Felge deformiert wird; die positive Vertikalbeschleunigung
des Rads ist somit bereits bei vollständiger Deformation des Pneus
abgeschlossen (und nicht erst am Ende der Rampe); die Vertikalgeschwindigkeit
ist die gleiche, aber die Beschleunigungszeit ist kürzer, deshalb
steigt diese Kurve viel steiler und länger an.
Die Modelle müssten massiv verfeindert
werden, die Wahrheit liegt vermutlich zwischen Modell 1 und 2.
rot
eingezeichnet die zwischen IG Velo und Stadt Bern im Jahr 2003 vereinbarte
Maximalsteigung für veloverträgliche Rampen bei Tempo-30-Toren:
15 Prozent oder 8.5 Grad.
Das Modell 1 ist natürlich nur gültig
bis zum Grenzwinkel arccos(1-b/r), bei b=3cm und r=34cm ist das
24.25 Grad (in der Grafik wird der Verlauf horizontal).
Das ist der Punkt, wo die Rampe eine Tangente
an das Rad bildet. Wenn der Anstellwinkel steiler wird (alfa grösser),
so verändert sich die Strecke h nicht mehr, der Nenner in der
Formel bleibt konstant.
Rad, Radius r und
Tangente t :
Auch der Beschleunigungsschlag nimmt also
mit diesem Modell nicht weiter zu, auch wenn die Anrampung steiler wird.
Das bedeutet umgekehrt aber auch: Es nützt kaum etwas, einen 90-Grad-Versatz
auf 45 Grad (oder auch 25 Grad) abzuschleifen (dies vor allem bei hartgepumpten
Reifen). Der Grenzwinkel bei einem 3,2cm hoheh Absatz und 34cm Rad-Radius
ist eben gerade 25 Grad. Erst bei kleinerer Rampensteigung als dort,
wo die Rampe eine Tangente ans Rad bildet, tritt eine rasche und positiv
erlebbare Besserung (Abschwächung des Vertikalschlags aufs Velo) ein.
Optimale Ausführungs-Beispiele:

Wenn man die 3 cm Höhe mit
nur einem statt zwei schräggestellten Steinen (11/13cm)
überwindet, so steigt die Vertikalbeschleunigung von ca. 0,67
g auf 1,85 g! (um Faktor 2.75)
Fazit:
Es nützt praktisch nichts, einen
rechtwinkligen Absatz auf 45 Grad oder 100% Steigung anzuschrägen
Beispiel Bern Bubenbergplatz:
Die Veloquerung von und nach dem Hirschengraben
wurde leider mit 3 (drei) neuen Randsteinanschlägen gebaut, die vorher
nicht vorhanden waren:
Die nachträgliche 30- bis 45-Grad-Anschrägung
bringt kaum etwas:
Gleiches bei der Mittelinsel:
Die 45-Grad-Anschrägung bringt kaum
etwas:
Am besten ist es noch auf der Seite Apotheke:
->
Randsteinpraxis Bern: Bilder
Fragen?
(c) IG
Velo Bern 2004
Pro Velo Bern 2010